一个可秒杀导数压轴题的公式-泰勒展开式-命题背景第22集
2026-02-11 10:06 来源:网络 点击:
一个可秒杀导数压轴题的公式-泰勒展开式-命题背景第22集
英国数学家布鲁克泰勒在1712年的一封信中首次叙述了该公式.

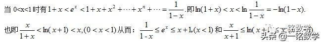
对于函数f(x)=ex在x=0处的泰勒展开式为:ex=1+x/1!+x2/2!+…xn/n!+……此式子也叫麦克劳林公式.得到如下不等式:

高考中很多不等式的证明问题,恒成立求参数范围问题等等都与泰勒展开式有关.通过此文起到抛砖引玉的作用。










有精力的同学可以尝试做一下,更多内容欢迎留言.






相关标签:
-
- 为什么建议穷人不要生孩子?
-
2026-02-11 10:04:09
-
- 售价创新低!13800元,银钢双缸复古拿铁升级来袭
-
2026-02-11 10:01:55
-
- 深度解读摩根石,这一篇就够了
-
2026-02-11 09:59:40
-
- 上联:钱多事少离家近,下联:位高权重责任轻。横批:诚邀您来对
-
2026-02-11 09:57:26
-
- 秋游好去处!济南鲜花港邀你共赏百亩花海
-
2026-02-11 09:55:12
-
- 看封面,知大事!国际大刊之时代周刊
-
2026-02-11 09:52:57
-
- 九代酷睿实力逆天,把把吃鸡不是妄想
-
2026-02-11 09:50:43
-
- 参军选择哪个兵种比较好?有没有既有前途又不太累的兵种?
-
2026-02-11 09:48:29
-
- 90后儿时的动画片——经典的回忆!
-
2026-02-11 09:46:14
-
- 我国最神秘的监狱:秦城监狱!你听都没听过
-
2026-02-11 07:25:54
-
- 南斯拉夫内战:“二战”过后欧洲最为惨烈的一幕
-
2026-02-11 07:23:40
-
- 名车介绍:最便宜的本田进口大排量摩托——CB500F,外观是亮点
-
2026-02-11 07:21:25
-
- 禅诗欣赏:云自无心水自闲
-
2026-02-11 07:19:11
-
- 【雪中悍刀行】天下第一痴情人,八百年只为等一人——白衣洛阳
-
2026-02-11 07:16:57
-
- 著名养生专家迷罗,“元瑜伽”创始人,被誉为“中医瑜伽第一人”
-
2026-02-11 07:14:42
-
- 上海韩湘水博园
-
2026-02-11 07:12:28
-
- 京医通下架?整理了22家医院挂号方式,收藏起来吧
-
2026-02-11 07:10:14
-
- “一代天后”江蕙,与邓丽君齐名,情场却坎坷不已
-
2026-02-11 07:07:59
-
- 周丹薇:70年代台湾第一名模,与林青霞并肩第一代琼女郎
-
2026-02-11 07:05:45
-
- 一个有灵性的女人,往往有这3个特质
-
2026-02-11 07:03:30



前妻终于说出离婚的真相(跟前妻离婚后兄弟说出了真相)
名模潘娇娇的那些喷血写真 潘娇娇简介
中国十大航空空姐:南航旗袍装,川航火辣热情,你最钟意哪家?
80年代,洪学智的女儿洪醒华,与养母一家合影,曾流落民间12年
杨幂1分11秒视频被疯狂转发 女主角到底是谁
五本古言:权势滔天的男主对女主强取豪夺,终及一生都求而不得
5本年代军婚文,女主重生嫁给兵哥哥,独得一世宠爱,甜蜜幸福
刘师长在老山喊出“战士在前方流的是血,不是水”后,提拔被取消
九本女主是继室的古言:《咸鱼继母日常》《继室夫人的合离计划》
中学生情侣在光天化日之下偷吃禁果,视频曝光引发网友强烈谴责